Die große "Rheumalüge"...
Lange Wartezeiten in den Praxen und Kliniken sind Alltag für viele Betroffene. Und trotz Schmerzen, die sich zeitweise anfühlen wie Messerstiche, wird man kaum beraten oder bekommt hilfreiche Antworten auf offene Fragen, wie:
"Sind Medikamente mit eventuell heftigen Nebenwirkungen tatsächlich die einzige Lösung?"
"Werden rheumatische Erkrankungen vererbt, oder was ist die Ursache?"
"Wieso schaffen es manche beschwerdefrei zu werden und andere nicht?" ...
Ob rheumatoide Arthritis, Morbus Bechterew, Psoriasis Arthritis, Kollagenosen, Sklerodermie, Morbus Wegener, Juvenile idiopathische Arthritis, Osteoporose, Arthrosen... - Rheuma ist ein Schrecken mit vielen Gesichtern und bis heute gibt es keine klare, und vor allem von der Medizin anerkannte Antwort auf die Frage:
"Wie und warum entstehen rheumatische Erkrankungen, und wie lässt sich die tatsächliche Ursache behandeln?"
Es leiden fast 2 % der erwachsenen Bevölkerung an rheumatischen Beschwerden und über 400 Erkrankungen werden mittlerweile dem Überbegriff „Rheuma“ zugeordnet. Selbst immer mehr junge Menschen sind betroffen.
Manche verbergen ihre Schmerzen und Einschränkungen im Alltag, oder verdrängen sie, bis es einfach nicht mehr geht. Andere bekommen erst sehr spät eine genaue Diagnose und leben jahrelang mit Schmerzen, ohne zu wissen, was das eigentliche Problem ist. Geschweige denn, wodurch es verursacht wurde. Fehldiagnosen, Medikamente mit teils heftigen Nebenwirkungen, Ungewissheit und schlussendlich ein massiver Verlust an Lebensqualität und somit auch Lebensfreude. Das ist Realität und Aussicht für viele Rheumatiker, aber …
Guter Rat ist teuer, sagt man, aber eine lebenslange Therapie ist teurer. Denn diverse Schmerzmittel, Entzündungshemmer, Basismedikamente und die neuen Biologika sind immer noch die Mittel der Wahl, wenn es um die Therapie geht, aber…
"Ist das wirklich der einzige Weg?"
"Wem hat das langfristig wirklich geholfen?"
"Was ist der Preis für jahrelange/jahrzehntelange Medikamenteneinnahme?"
Wir haben mit tausenden betroffenen Menschen gearbeitet, und mittlerweile Antworten auf diese und weitere Fragen, welche auch Ihnen die Augen öffnen werden…
Durch jahrelange Erfahrung im Bereich der Rheumatologie und tiefgreifendem Wissen aus der ganzheitlichen Gesundheitslehre wissen wir mittlerweile: Damit Schmerzen, Entzündungen und Einschränkungen dauerhaft verschwinden, beziehungsweise zumindest nicht weiter fortschreiten, bedarf es mehr als einer reinen Behandlung der Symptome. Nur, wenn die Ursache angegangen wird, können sich auch Symptome auflösen!
Klingt logisch, oder was meinen Sie?
Ja, aber wir machen - trotz moderner Medikamente und eindeutigen Forschungsergebnissen - genau das Gegenteil. Jeden Tag, bei beinahe jedem Patienten, auf der ganzen Welt…
Dabei gibt es aussagekräftige Studien, fundierte Untersuchungsergebnisse, Erfahrungsberichte und durchaus auch Ärzte, Wissenschaftler und Professoren, die klar aufzeigen, warum sich der Körper so drastisch, und teils rasant selbst zerstört. Doch diese wichtigen Erkenntnisse sind dem Großteil der Mediziner(innen) hierzulande leider nicht bekannt. Auch weil sie nie dahingehend ausgebildet wurden, denn kein Mediziner lernt diese Dinge im Studium.
Wir kennen dutzende Ärzte, auch Chefärzte und Professoren persönlich. Was zudem viele nicht wissen - auch Ihnen sind die Hände größtenteils gebunden, denn Medizin ist und bleibt ein Geschäft. Es geht nicht in erster Linie darum, die beste Lösung zu finden...
So eine Lösung muss auch vermarktbar sein. Das System muss laufen, jedoch kostet die Abhängigkeit von Medikamenten vielen Betroffenen ihre Freiheit, ihre Gesundheit, schlussendlich ihren Lebensmut, wenn nicht zusätzlich gegengesteuert wird. Das ist unsere Erfahrung und auch viele Ärzte sehen das so, können aber schlussendlich nicht viel dagegen machen.
Sie können Schmerzen nehmen, verlangsamen den Verlauf, aber heilen können sie chronische, rheumatische Erkrankungen nicht. Und die Nebenwirkungen können über kurz oder lang verheerend sein. Ein wahrer Teufelskreis kann entstehen, denn schlussendlich möchte man doch nur wieder beschwerdefrei leben, und nicht den Teufel mit dem Beelzebub austreiben.
Wir kennen diese Mechanismen und möchten auch niemanden anprangern. Es gibt viele großartige Ärzte/Ärztinnen, denen das Wohl Ihrer Patienten sehr am Herzen liegt. Sie schauen über den Tellerrand, nehmen sich Zeit, die sie eigentlich nicht haben und das muss honoriert werden. Diese Menschen retten viele Leben. Doch bei den meisten chronischen Erkrankungen können Medikamente und Operationen nur sehr bedingt helfen, denn die tatsächliche Ursache wird nicht gelöst. Dazu gleich noch mehr.
Schlussendlich geht es nur darum, eine Lösung zu finden. Eine Lösung für die Menschen, die die Wahrheit verdienen und das ist zu unserer Mission geworden. Im Folgenden werden wir Ihnen alles haargenau erklären, also seien Sie gespannt.
Rheuma ist nicht gleich Rheuma! Fehldiagnosen und daher auch Fehlbehandlungen sind an der Tagesordnung, denn die Symptome und Krankheitsbilder sind so unterschiedlich und vielfältig, wie die Menschen, die erkranken. Jedoch sind die Ursachen häufig ähnlich, was auch die Wissenschaft so aufzeigt. Oft wird einfach eine genetische Veranlagung als Ursache genannt, also ein Gendefekt:
"Ihr(e) Vater/Mutter hatte Rheuma und jetzt haben Sie es auch!"
In unseren Augen ist das viel zu einfach, und zu gemütlich gedacht. Eine ganzheitliche Betrachtungsweise ist nötig, wenn man chronisch, entzündliche und degenerative Prozesse dauerhaft stoppen will. Und über Folgendes wird fast niemand aufgeklärt …
Laut Untersuchungen an Zwillingen sind die Ursachen nur zu 30 % genetisch und zu 70 % durch äußere Einflüsse verursacht!
Man könnte also sagen, dass gewisse Menschen durch ihre Veranlagung dazu neigen Rheuma zu entwickeln, wenn bestimmte äußere Umstände (ungünstige Ernährung, schwaches Immunsystem, Nährstoffmängel, Giftstoffe in der Umwelt, Stress, Viren und/oder Bakterien) gegeben sind. In unseren Augen ist es die Kombination mehrerer ungünstiger Faktoren. Aber wie gesagt, Rheuma ist nicht gleich Rheuma ...
1. Autoimmun bedingtes, entzündliches Rheuma (Gelenke, Muskeln, Sehnen)
Dazu gehören unter anderem: Rheumatoide Arthritis, Morbus Bechterew, Psoriasis Arthritis, Kollagenosen, Sklerodermie, Morbus Wegener, Juvenile idiopathische Arthritis, usw.
2. Verschleißbedingtes Rheuma, auch Arthrose genannt
3. Stoffwechselerkrankungen, die zu rheumatischen Beschwerden führen
4. Knochenerkrankungen z.B. Osteoporose
All die oben genannten Erkrankungen gelten als unheilbar, und die Folgen einer zu späten Diagnose, oder fehlgeschlagenen Therapie sind meist verheerend:
Verschlissene Gelenke, Deformierungen, bis hin zu Organschäden, je nach Rheumaform und Schweregrad. Das alltägliche Leben wird zur Qual und selbst einfachste motorische Aufgaben verursachen starke Schmerzen, bzw. sind nicht mehr ausführbar. Depressionen und Zukunftsängste sind die Folge...
"Doch wie kann das gehen?"
Das Ziel sollte natürlich stets eine Remission sein, also dauerhafte Schmerzfreiheit, bis hin zu völliger Symptomfreiheit. Aber um das zu erreichen, bedarf es meist mehr als der Unterdrückung des Immunsystems durch Medikamente, was auf Dauer viele gesundheitliche Gefahren mit sich bringen kann.
Denn ob Basismedikamente, Cortison oder Biologika … Diese Mittel wirken akut gegen Schmerzen, können den Krankheitsverlauf verlangsamen, Schübe abmildern und haben daher klar ihren Platz. Jedoch wichtig zu verstehen ist Folgendes:
Nur der Körper selbst ist imstande sich zu heilen und das macht er auch, wenn wir ihm die Chance dazu geben!
Es stimmt. Schlussendlich müssen wir akzeptieren, dass wir Faktoren wie eine genetische Veranlagung nicht beeinflussen können. Aber das allein ist nicht die Ursache für die chronischen Entzündungen, wie bereits erwähnt. Und was viele nicht deutlich genug sagen ist: Unser „fortschrittlicher“ Lebensstil spielt eine weitaus größere Rolle als gedacht und das hat seine Gründe …
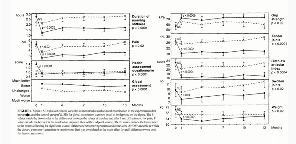
In einer kontrollierten Einzelblindstudie wurden 53 Patienten mit rheumatoider Arthritis über 1 Jahr untersucht, um eventuell einen Zusammenhang zwischen den chronischen Entzündungen und der Ernährung herauszufinden.
Eckdaten:
Eine Gruppe von 26 Personen aß ganz normal weiter, also ohne Veränderung. Eine 2. Gruppe mit 27 Personen sollte anfangs 7-10 Tage fasten und wurden anschließend auf eine größtenteils pflanzliche, unverarbeitete Diät gesetzt.
Die Ergebnisse:
Bei der ersten Gruppe gab es keinerlei Veränderungen (gestrichelte Linie im Diagramm, unten), aber die zweite Gruppe erfuhr bereits nach kurzer Zeit durchweg eine signifikante Verbesserung in allen gemessenen Faktoren (durchgezogene Linie).
Im folgenden Diagramm genau zu erkennen...

Kurz zum Verständnis:
Die Faktoren waren (auf der linken Seite)...
1. Dauer der Morgensteifigkeit
2. Schmerzen
3. Fragebogen zur Gesundheitsbewertung
4. Allgemeine Bewertung (von "viel besser" bis "viel schlechter")
Und auf der rechten Seite:
1. Griffkraft
2. Gelenkschwäche
3. Richies Gelenkindex (Zahl der schmerzhaften Gelenke mit einer Vierpunkteskala )
4. Geschwollene Gelenke
5. Körpergewicht
Ergebnis:
Man sieht deutlich, dass die 2. Gruppe (durchgezogene Linie in den Diagrammen) durch Ernährungsumstellung enorme Verbesserungen in jeder Kategorie zeigte. Ein wirklich sehr interessantes Ergebnis, dass uns allen zu denken geben sollte.
Link zur Studie: https://pubmed.ncbi.nlm.nih.gov/10479237/
Mit diesen Fragen haben wir uns jahrelang beschäftigt und erstaunliches herausgefunden. Im Folgenden decken wir auf, wie rheumatische Erkrankungen entstehen, und was jeder aktiv dagegen tun kann, um wieder mehr Lebensqualität zurückzugewinnen, mit größtenteils sehr einfachen Maßnahmen.
Und ein ganz besonderes Puzzleteil wird hierbei leider viel zu oft vergessen, besser gesagt vernachlässigt. Doch dabei ist dieses Teil der Schlüssel, um die tatsächliche Ursache der meisten rheumatischen Erkrankungen direkt anzugehen. Vor allem die chronisch entzündlichen, also autoimmun bedingten Rheumaformen wie Rheumatoide Arthritis, Morbus Bechterew, Psoriasis Arthritis, Kollagenosen, Sklerodermie, Morbus Wegener, Juvenile idiopathische Arthritis, …
Ernährung und Lebensstil scheinen also ein sehr wichtiger Faktor zu sein...
Aber warum ist das so? Welche Ernährungsform ist optimal? Ist das nicht sehr aufwändig?
Es gibt viele Meinungen und Ratschläge zu diesem Thema, allerdings sind die meisten davon falsch...
"Essen Sie kein rotes Fleisch. Lieber fettigen Fisch, wegen Omega-3-Fettsäuren und keinen Alkohol. Viel Gemüse und Obst sollte auch auf den Tisch kommen. Mediterrane Küche ist zu empfehlen."
Da hört es bei den meisten "Experten" schon auf, aber all das ist nicht mal die halbe Wahrheit! Um zu verstehen, warum das zu kurz gedacht ist und worauf wirklich zu achten ist, müssen wir etwas tiefer graben:
Studien haben gezeigt, dass Betroffene von Rheumatoider Arthritis (RA) eine gestörte Darmflora (Fehlbesiedlung des Darms, auch Dysbiose genannt) aufweisen.
Aber was bedeutet das genau?
Es klingt vielleicht unspektakulär, aber die Folgen eines Ungleichgewichts innerhalb des Darms können, vor allem langfristig, verheerend sein. Denn…
Ca. 80 % unseres Immunsystems befindet sich im Darm, und die Zusammensetzung der verschiedenen Bakterien, Pilze und Mikroorganismen (-> Mikrobiom genannt) ist entscheidend. Wir können nicht ohne unser Mikrobiom überleben, und es kann nicht ohne uns überleben. Es ist eine Symbiose, die es zu pflegen gilt, wenn wir gesund bleiben, oder werden wollen. Doch warum ist das so wichtig?
Eine gute Darmflora ist die Basis eines gesunden Lebens, und das wussten schon Menschen, die weit vor unserer Zeit lebten. Aber wir schenken diesen Erkenntnissen leider kaum mehr Beachtung…
„Der gesunde Darm ist die Wurzel aller Gesundheit!“
(Hippokrates, altgriechischer Arzt und Philosoph, 460 v. Chr.)
Doch sieht die Realität heutzutage eher wie folgt aus:
Und diese 4 Punkte haben eines gemeinsam: Sie können großen Schaden im Darm anrichten, indem sie die Darmflora (und somit unser Immunsystem) massiv schädigen, wenn dies über Jahre (bzw. Jahrzehnte) hinweg so praktiziert wird. Zudem übersäuert der Körper zunehmend, elementar wichtige Nährstoffe fehlen, und/oder werden nicht mehr richtig aufgenommen vom Körper.
Ein Rattenschwanz an Problemen kann entstehen…
Wenn die Darmflora gestört ist, also eine Dysbiose vorliegt, dann haben „schädliche“ Organismen leichteres Spiel. Sie nehmen den Platz der „guten Bakterien“ ein und verändern somit die Darmflora/Funktionalität. Obgleich schädliche Organismen (Bakterien und Pilze) auch Teil einer gesunden Darmflora sind, führt deren zu starke Ausbreitung zu einem Ungleichgewicht, welches negative Auswirkungen auf viele Vorgänge im Körper hat.
Die Verdauung funktioniert dadurch nicht mehr ordnungsgemäß und der Darm kann seinen Job als „Filter“ (Aufnahme von Nährstoffen und Ausscheidung von nicht verdauter Nahrung und Giftstoffen) nicht mehr richtig erfüllen.
Man könnte sagen, der Darm wird löchrig, bzw. durchlässig...
Es handelt sich hierbei aber nicht um sichtbare Verletzungen, sondern um eine reine Funktionsstörung. Diese wird auch "Leaky-Gut" genannt, also übersetzt ins Deutsche -> Löchriger Darm.
Selbst kleine Kinder können dieses Problem haben/entwickeln, z.B. wenn sie per Kaiserschnitt das Licht der Welt erblicken, nicht gestillt werden oder zu früh feste Nahrung, oder Medikamente erhalten. Die Darmflora von Neugeborenen ist komplett anders, als die eines Erwachsenen und muss sich erst entwickeln. Sie passt sich also mit der Zeit an, und das ist der entscheidende Faktor. Wir können sie beeinflussen, wenn wir wissen wie. Dies erklärt in unseren Augen auch, warum selbst Neugeborene und Kleinkinder an Rheuma erkranken. Um das Problem des löchrigen Darms noch etwas zu verdeutlichen, schauen wir uns kurz Folgendes an...
Hier ein vereinfachte Darstellung eines funktionierenden Darms:

Erklärung: Nährstoffe werden über den Darm aufgenommen und von der Blutbahn weitertransportiert.
Schädliche Stoffe und große Partikel bleiben im Darm und werden schlussendlich mit dem Stuhl ausgeschieden. Ist jedoch diese Darmbarriere beschädigt, können auch "ungeladene Gäste" z.B. (Bakterien, Pilze, schädliche Nahrungsmittelbestandteile) ungehindert in die Blutbahn gelangen und dadurch verschiedenste Probleme im ganzen Körper verursachen.
Siehe hier: Das sogenannte Leaky Gut Syndrom (durchlässige Darmwand):

Erklärung: Hier können Sie genau sehen, dass die Darmwand geschwächt ist. Schädliche Stoffe und Organismen gelangen in die Blutbahn.
Auf diese Weise können eigentlich harmlose Lebensmittel unseren Körper systematisch vergiften und verschiedenste Reaktionen, unter anderem chronische Entzündungen, hervorrufen.
Rheuma ist also wie ein sehr extremes Warnsignal unseres Körpers, dass uns zeigen soll, dass ein schwerwiegendes Problem vorliegt. Ursache dieses Warnsignals ist der Darm (weil 80 % des Immunsystems dort sitzen).
1. Eine genetische Veranlagung ist vorhanden
(das können wir nicht ändern)
2. Äußere Einflüsse verändern die Flora des Darms, durch...
Das Immunsystem spielt verrückt, und greift eigene Zellen an.
Bei manchen Menschen zeigt sich dies in einer chronischen Hautkrankheit (Neurodermitis, Abszesse, Furunkel, chronische Akne (z.B. die gefürchtete Akne Inversa), usw. Bei anderen wird der Bewegungsapparat attackiert. Gelenke, Skelettmuskeln, Bänder und selbst Organe werden systematisch zerstört
Wichtig: Dies ist eine vereinfachte Erklärung. Dieses Phänomen nennt man in der Wissenschaft molekulare Mimikry. Wenn Sie es noch genauer wissen möchten, dann recherchieren Sie die Begriffe: molekulare Mimikry und Leaky Gut
Auch die Leber und die Nieren werden dadurch extrem belastet und müssen Schwerstarbeit leisten. Begleit- und Folgeerkrankungen sind keine Seltenheit.
Wie gesagt, es spielt auch eine gewisse genetische Veranlagung eine Rolle, wenn es darum geht, welche Symptomatik sich schlussendlich entwickeln. Also auch, an welcher Form des Rheumas man erkrankt. Eine Art Roulettespiel, könnte man schon beinahe sagen.
Aber einige Punkte haben wir selbst in der Hand. Und unsere Erfahrung zeigt glasklar, dass (neben der richtigen Medikation) die Umkehrung der oben genannten „Ursachenkette“ in den meisten Fällen rasch zu einer enormen Verbesserung der Symptome führt.
Denn auch in Studien wurde gezeigt, dass eine Sanierung der Darmflora fast immer zu einer signifikanten Verbesserung führte. Vor allem bei den autoimmun bedingten, rheumatischen Erkrankungen ist dies der wichtigste Faktor. Auch Nährstoffmängel haben damit zu tun, aber diese können schnell beseitigt werden und selbst der Leaky Gut ist heilbar, wenn man weiß, worauf es wirklich ankommt...
Aber wodurch lässt sich die Darmflora, bzw. unser Immunsystem im Ganzen dauerhaft und zuverlässig verbessern?
Sie kennen die Antwort…
In allererster Linie durch unsere Ernährungs- und Lebensgewohnheiten! Aus eigener Erfahrung heraus können wir sagen, dass Betroffene darüber leider meist kaum aufgeklärt werden. Es heißt immer wieder…
„Stellen Sie Ihre Ernährung um!“ oder "Machen Sie eine Darmsanierung!"
Aber wie und warum wird selten genauer erklärt. Das ist nicht nur schade, sondern ein wirklich großes Problem in unseren Augen, denn die Lösung ist eigentlich simpel!
Sie kennen nun die genauen Hintergründe und das ist wichtig, denn nur so versteht man, warum Themen wie Ernährung und auch allgemeine Lebensführung so elementar wichtig sind. Ich weiß...
Wir haben beobachtet, dass dieser ganzheitliche Ansatz vielen Menschen extrem hilft, und sind daher der Meinung, dass jeder Betroffene dieses Wissen zwingend haben muss. Denn weder ist es sonderlich kompliziert, noch kostenintensiv, wenn man die Mechanismen versteht. Wie gesagt, auch für uns war die Lösungsfindung ein langjähriger Prozess und wir machen das hauptberuflich. Jemand, der nur die Zeit dafür hat an der Oberfläche zu suchen, hat danach oftmals mehr Fragen als Antworten, denn das Problem hier wiederum…
Es herrscht allgemein große Verwirrung durch die Verbreitung von Halbwissen und falschen Annahmen!
Es kursieren bedauerlicherweise viele Falschinformationen und gefährliches Halbwissen in den Medien, selbst in der Literatur. Hunderte Kochbücher und Ratgeber sind für Betroffene erhältlich, aber sie enthalten nur einen Teil der Wahrheit (wenn überhaupt), und basieren meistens auf reinem Hörensagen. Grundlegendes wird falsch verstanden und allgemeine Tipps helfen hier niemandem.
Es braucht die richtigen Schritte, verständlich und umsetzbar vermittelt. Die Lösung muss zudem für möglichst jeden bezahlbar und vor allem wirksam sein.
Wir arbeiten seit fast 10 Jahren an einem ganzheitlichen Leitfaden, basierend auf hunderten von Studienergebnissen und Untersuchungen, sowie unserer praktischen Erfahrung mit mittlerweile tausenden Anwendern.
Doch bevor wir haargenau auf diesen einzigartigen Ansatz und die Erfahrungen unserer Anwender eingehen, möchte ich Ihnen kurz von uns und unserer, beziehungsweise meiner Leidensgeschichte erzählen…
Mein Name ist Jacob Niebler, ich bin 34 Jahre alt und ganzheitlicher Gesundheitscoach aus Überzeugung, auch aufgrund meiner eigenen Geschichte...

Ich war nicht immer der vitale, junge Mann, den Sie hier auf dem aktuellen Foto sehen. Ich litt nicht an Rheuma, sondern an einer der schmerzhaftesten, chronischen Hautkrankheiten überhaupt, nämlich Akne Inversa. Diese Erkrankung hat jedoch nichts mit gewöhnlicher Akne zu tun…
Das Krankheitsbild sieht wie folgt aus:
Es bilden sich nach und nach immer mehr sehr schmerzhafte Knoten, auch Abszesse genannt, hauptsächlich im Achsel- und/oder Intimbereich. Aber auch andere Körperpartien können betroffen sein. Meistens verläuft Akne Inversa ebenfalls in Schüben, so auch bei mir.
Betroffene von Akne Inversa bekommen oft erst spät, oder gar keine Diagnose, und es gilt als kaum therapierbar. Antibiotika und Schmerzmittel verschafften kurzzeitige Linderung, aber dauerhaft hat nichts geholfen. Ähnlich wie bei Rheumatikern sind die Einschränkungen zeitweise so stark, dass der Alltag kaum mehr ohne dauerhafte Einnahme von Schmerzmitteln während den Schüben zu bewältigen ist. Großflächige OPs und langwierige Heilungsprozesse mit offenen Wunden sind schlussendlich für viele Betroffene das Ende vom Lied, und auch danach ist es meist nicht vorbei.
Weil auch hiermit nicht die Ursache behoben wird!
Diese Erkrankung drohte mein Leben zu zerstören, wie schon bei vielen anderen vor mir und niemand schien mir helfen zu können...
Ich bekam immer nur eine Antwort von den Ärzten: „Nicht heilbar.“
Aber ich wollte das so einfach nicht akzeptieren. Irgendetwas muss es geben und ich werde es finden. So kann und will ich nicht leben, dachte ich und ich war bereit alles zu opfern, um mein altes Leben wieder zurückzubekommen.
Einen Job hatte ich ohnehin nicht mehr (nur meine Familie, die immer hinter mir stand), also las ich nächtelang Studien und Untersuchungen, schaute Vorträge und suchte Erfahrungsberichte von Menschen auf der ganzen Welt. Dabei bin ich im Laufe der Zeit auf erstaunliche Informationen gestoßen, die mein Leben um 180° drehen sollten. Ich recherchierte und lernte den ganzen Tag, setzte das Gelernte Schritt für Schritt um, so gut ich es eben bis dahin wusste (heute weiß ich vieles besser), und das Ergebnis war…
Mir ging es von Woche zu Woche besser und mithilfe meines Bruders (Raphael Niebler; Stellv. Laborleiter in einer der größten Rheumatologin Deutschlands – Bad Abbach, Bayern), mehreren Heilpraktikern, Gesprächen mit Ärzten im Bekanntenkreis und weiteren tiefgründigen Recherchen, hatte ich die Lösung gefunden, und im Laufe der Zeit immer weiter optimiert.
Mein Bruder, Raphael Niebler...

Durch eine einfache Umstellung meiner Ernährung und teils geringfügiger Optimierung meines Lebensstils wurde ich innerhalb von 3 Monaten beinahe beschwerdefrei. Nach 6 Monaten hatte ich keinerlei Probleme mehr, bis heute, viele Jahre später, wofür ich unendlich dankbar bin.
Ich habe eine zweite Chance bekommen, und wollte natürlich mein Wissen mit anderen Betroffenen teilen, damit auch sie diese Chance bekommen. Ich schrieb mein erstes Ernährungsprogramm namens "Akne Inversa - geheilt", veröffentlichte vor ca. 5 Jahren eine Website (change4u.de) und teilte meine Geschichte. Heute bin ich ein holistischer Gesundheitscoach, also Ernährungs- und Lebensstilberater, mit Leib und Seele. Ich habe Aufklärung, aber auch Lösungsfindung, zu meiner persönlichen Mission gemacht und versuche mich jeden Tag weiterzubilden, um noch mehr Menschen helfen zu können, mit den unterschiedlichsten gesundheitlichen Problemen.
Wir haben schon viel gesehen, obwohl wir mit Mitte 30 noch relativ jung sind. Viele Geschichten und Schicksale sind wirklich herzzerreißend, und besonders bei sehr schweren Fällen ist es oft ein langer Prozess von mehreren Monaten, bis man positive Veränderungen bemerkt.
Rheumatische Erkrankungen entstehen meist nicht innerhalb von Wochen, sondern eher innerhalb von Jahrzehnten. Die meisten schaffen es wieder mehr Lebensqualität zu erlangen, oder sich sogar komplett zu erholen, aber hier spielen auch individuelle Faktoren eine Rolle.
Eine besondere Geschichte, in Bezug auf Rheuma, öffnete mir vor einiger Zeit Jahren meine Augen noch weiter. Ich möchte Ihnen zeigen, warum. Sie war der Anstoß für mich, diese Website ins Leben zu rufen, auf der Sie sich gerade befinden. Es handelt sich hierbei um einen Erfahrungsbericht, den ich im November 2018 erhalten habe:




(Auszug meiner Akne Inversa-Website: change4u.de/erfahrungsberichte)
In diesem Zuge möchten wir auch Petra für ihr Vertrauen und ihre offene Art danken. Sie hatte großen Anteil daran, dass wir seitdem auch vielen anderen Betroffenen mit rheumatischen Beschwerden helfen konnten.
Auch durch die Arbeit meines Bruders (Raphael Niebler, stellv. Laborleiter) in der Rheumatologie war dies möglich.
Immer wieder durften wir beobachten, dass die Entzündungswerte sanken und die Symptome, wie auch das Wohlbefinden sich verbesserten, wenn das Immunsystem positiv „manipuliert“ wurde. Auf die richtige Art und Weise, und das ist einfacher, als die meisten denken würden. Heute wissen wir das.
Es kommt auch nicht selten vor, dass Rheumatiker sogenannte Begleiterkrankungen entwickeln, so auch bei Petra. In ihrem Fall war es Akne Inversa, ebenfalls eine Autoimmunerkrankung, wie auch die Rheumatoide Arthritis. Der Ursprung beider Erkrankungen war...
Das überbeanspruchte und geschädigte Immunsystem, was eben hauptsächlich (80% - Sie wissen es ja) den Darm betrifft, und damit die bereits genannten Faktoren.
Unser Leitfaden konnte bereits vielen hunderten, wenn nicht tausenden chronisch erkrankten Menschen mit den unterschiedlichsten rheumatischen Beschwerdebildern helfen. Und darüber sind wir sehr, sehr glücklich, und auch stolz.
Und das ist die Lösung, die auch Ihnen ein schmerzfreies, selbstbestimmtes Leben wieder zurückgeben kann...

Die wohl effektivste Schritt-für-Schritt-Anleitung, um Schmerzen und Entzündungen auf natürliche Art und Weise rasch minimieren, beziehungsweise sogar eliminieren zu können!

Sie bekommen unser Kochbuch "Das Rheuma-Rezeptbuch" mit über 40 einfachen, schnellen und leckeren Rezepten, sowie 4 praktische Infotafeln, die alle wichtigen Punkte nochmals übersichtlich darstellen. Somit machen Sie von Anfang an automatisch alles richtig, ohne sich selbst passende Rezepte suchen zu müssen, oder ständig nachschlagen zu müssen im Alltag.




Wir möchten Ihnen nun die Chance geben unser Programm einfach auszuprobieren, damit Sie schon bald selbst spüren können, welchen gravierenden Einfluss die richtige Ernährungsweise, und der optimale Lebensstil haben. Wir wissen, dass unser Programm auch Ihr Leben verändern wird, wenn Sie sich darauf einlassen, aber...
Wir können und dürfen nicht garantieren, dass Sie damit zu 100 % Ihre Beschwerden verschwinden. Das wäre auch zudem extrem unseriös, denn jeder hat eine andere Ausgangssituation, bzw. Vorgeschichte (Dauer der Erkrankung, Alter, Ernährung, Genetik, usw.). Wenn es um Gesundheit geht, kann man einfach nie eine Garantie geben, aber was wir Ihnen versprechen ist Folgendes...
Prinzipiell jeder Betroffene einer autoimmun bedingten, speziell rheumatischen Erkrankung (darauf ist dieser Ratgeber ausgerichtet) kann mit diesem Programm sein Leben wieder in neue, bessere und gesündere Bahnen lenken. Teils innerhalb weniger Wochen, manchmal sogar Tagen, erzielen unsere Anwender massive positive Veränderungen. Aber wie gesagt, dafür gibt es keine Garantie. Dennoch...
Wenn Sie sich auf diese einzigartige Lösung einlassen, bereit sind, ein paar Gewohnheiten bezüglich Ihrer Ernährung, bzw. Ihres Lebensstils zu ändern, um das Problem von der Wurzel her aufzulösen, dann werden Sie es sicher nicht bereuen. Sie haben soviel zu gewinnen und absolut nichts zu verlieren. Ihre Zufriedenheit liegt uns sehr am Herzen und wir sind immer für Sie da, falls Sie Fragen oder Probleme haben sollten. Und falls Sie innerhalb der ersten 4 Wochen keine Besserung verspüren sollten, gibt es immer noch die 30-Tage Geld-zurück-Garantie.
Falls Sie aber (so wie die meisten unserer Anwender) eine Verbesserung spüren, und merken, wie alles von Woche zu Woche einfacher wird und die Schmerzen verschwinden... dann ist das ein völlig neues Lebensgefühl. Sie können endlich wieder die Kontrolle über Ihr eigenes Schicksal zurückerlangen und ich weiß genau wovon ich rede, denn ich habe es selbst erlebt. Auch ich hätte früher daran nicht geglaubt, aber es ist Realität. Und es kann auch für Sie Realität werden, vielleicht schon sehr bald, wenn Sie nur bereit sind ein paar Dinge zu verändern. Schritt für Schritt, in Ihrem eigenen Wohlfühl-Tempo. Tausende haben es mit dieser Anleitung bereits geschafft und Sie können das auch.
Wichtig:
Und selbst wenn Sie das Programm nicht zu 100 % umsetzen können oder möchten (es ist nicht kompliziert oder kostenintensiv!), dann kann ich Ihnen aus Erfahrung sagen, dass selbst kleine Veränderungen langfristig einen großen Unterschied machen können.
Wenn Sie nicht bereit sind ein paar Gewohnheiten zu verändern, oder auf einen einzigen magischen Tipp hoffen, der alles zum Guten wenden wird, dann muss ich Sie leider enttäuschen. Die Umsetzung kann Ihnen niemand abnehmen und ja, es ist auch gewisses Maß an Disziplin gefordert. Aber wenn Sie dafür bereit sind, ist schlussendlich alles möglich.
Eine rheumatische Erkrankung entsteht nicht in wenigen Tagen, sondern über Jahre hinweg. Von der Dysbiose (Fehlbesiedlung des Darms), bis zur ersten Entzündung ist es meist ein langer Weg. So ein tiefgreifendes Problem verschwindet nicht über Nacht durch eine Pille, oder eine OP.
Nur wenn man ganzheitlich die Ursache proaktiv angeht, mit den richtigen, sich gegenseitig ergänzenden Schritten, können tatsächlich "Wunder" geschehen.
Unser Ratgeberpaket ist ausschließlich über diese Website erhältlich und wird in Zusammenarbeit mit dem deutschen Zahlungsanbieter Digistore24 bereitgestellt. Dieser sorgt für einen schnellen, reibungslosen Bestellvorgang, und bietet maximale Sicherheit Ihrer Daten. Selbstverständlich sind all unsere Websites, wie auch das Bestellformular SSL-gesichert, und anonymisiert. Wir behandeln dieses Thema sehr offen, aber sind unseren Anwendern gegenüber immer so diskret und transparent wie nur möglich.
Und wie versprochen: Falls wir Ihnen wirklich nicht helfen können, bezahlen Sie keinen Cent durch unsere 30-tägige Rückgabegarantie! Eine einfache Mail reicht aus, falls es aus irgendeinem Grund nicht für Sie funktionieren sollte. Wovon wir jedoch keineswegs ausgehen, denn ansonsten könnten wir Ihnen dieses Angebot gar nicht machen...
Wir bieten unser komplettes Paket, bestehend aus unserem Programm, dem Rezeptbuch und den Infotafeln, in 2 Varianten an...
1. Eine gedruckte Version, welche wir an Sie versenden.
(Bei der gedruckten Variante ist das Kochbuch in den Ratgeber integriert)
2. Eine digitale Version zum sofortigen Download.
(Alle Inhalte im praktischen PDF-Format)
Klicken Sie einfach auf den entsprechenden Button Ihrer Wunsch-Variante (unten), dann gelangen Sie direkt zum richtigen Bestellformular!
Hier aber noch kurz die jeweiligen Preise, Vorteile und Eckdaten im Überblick...
Schauen wir uns die aktuelle Realität mal kurz an...
Was haben die bisherigen Lösungen (Medikamente) bei Ihnen bis jetzt bewirkt? Was haben die gängigen Wege bei der Masse in den letzten Jahren bewirkt?
Ja, manchmal verlangsamen Sie den Verlauf, oder nehmen akute Schmerzen, aber auch das kann einen hohen Preis haben, besonders wenn diese synthetischen Mittel dauerhaft eingenommen/gespritzt werden müssen, wie eigentlich immer der Fall. Nebenwirkungen können teils schlimmer sein, als die Erkrankung an sich. Und wenn überhaupt, dann helfen Sie gegen Symptome, nicht aber die Ursache. Schlussendliche Aussicht...
"Nicht heilbar!"
Und das stimmt sogar, denn mit schulmedizinischen Methoden alleine sind diese tiefgreifenden Probleme tatsächlich nicht zu lösen.
Das ist Fakt.
Also warten Sie nicht länger auf ein Wunder, oder eine neue Behandlungsweise, denn Sie verschwenden kostbare Lebenszeit, Geld, Lebensqualität und die Erkrankung kann beinahe ungehindert weiter fortschreiten. Drehen Sie den Spieß jetzt um und fangen Sie noch heute an. Hören Sie einfach auf Ihr Bauchgefühl, denn tief in uns, wissen wir doch alle, dass vieles heutzutage aus den Fugen geraten ist.
Unser Lebensstil ist alles andere als gesund und natürlich (auch wenn manche Ihnen das erzählen wollen, meist aus Eigeninteresse heraus). Obwohl dies nicht allzu schwer umkehrbar wäre, wenn man nur die wirklich wichtigen Mechanismen und Schritte kennt. Viele haben es bereits geschafft.
Auch dies ist ein Fakt.
Und nun denken Sie bitte kurz über folgendes Zitat nach...
"Die Definition von Wahnsinn ist es, jeden Tag das Gleiche zu tun und dabei ein anderes Ergebnis zu erwarten"
Mein Lieblingszitat von Albert Einstein, denn es ist die traurige Wahrheit. Werden Sie keine Zahl in irgendeiner Statistik, so wie viele vor Ihnen. Rheuma ist in den meisten Fällen kein unlösbares Problem, besonders wenn im frühen Stadium die richtigen Dinge umgesetzt werden.
Wenn Sie diese Chance jetzt nicht nutzen und nicht direkt das Momentum mitnehmen, dann werden Sie vielleicht auch in einer Woche nicht ins Handeln kommen. Vielleicht nicht in einem Monat, bis Sie in einem Jahr wieder auf dieser Website sind, weil sich Ihre gesundheitliche Situation nur noch weiter verschlechtert hat. Deshalb starten Sie jetzt, wenn nötig, mit kleinen Schritten, dann kann in einem Jahr (größtenteils schon viel früher, wie gesagt) ein völlig neues Leben, voller Pläne und Lebensfreude auf Sie warten.
Es gibt Momente, in denen wir eine Entscheidung treffen müssen, und falls Sie sich tatsächlich noch nicht sicher sein sollten, dann kann ich Ihnen nur noch von Mensch zu Mensch Folgendes versprechen...
Sie werden es nicht bereuen, wenn Sie uns Ihr Vertrauen schenken. Bei uns wird persönlicher Support und Kundenzufriedenheit noch großgeschrieben. Wir sind Menschen, die mit ihren hart erkämpften Erfahrungen und Wissen, welches nur wenigen zugänglich ist, helfen möchten. Weil wir es schlichtweg können. Wir sehen das auch als große Verantwortung, dennoch können wir das nicht umsonst tun, denn der Aufwand und die laufenden Kosten sind sehr hoch, trotz Website. Wir haben Jahre unseres Lebens investiert und vieles geopfert, regelrechte Pionierarbeit geleistet, um Ihnen heute diese Chance geben zu können.
Und selbst wenn Sie jetzt noch nicht bereit für große Veränderungen sind, warum auch immer...
Sie können leichtfüßig Schritt für Schritt ins Rollen kommen, oder auch voll durchstarten. Beides ist schlussendlich zielführend und jeder ist anders. Es kommen auch keine großen Kosten durch die Ernährungsumstellung auf Sie zu, denn die wichtigsten Schritte sind kostenlos, bzw. sparen sogar Geld. Ja, gewisse Ergänzungen können ein paar zusätzliche Kosten verursachen, aber zum einen ist das kein Muss (wir raten aber dazu, sich damit zumindest zu beschäftigen), und zum anderen kann auch hier Schritt für Schritt vorgegangen und optimiert werden.
Bitte beachten Sie auch Folgendes...
Normalerweise werden solche Informationen (nur wenige Menschen weltweit haben dieses Wissen im Ganzen überhaupt!) über persönliche Beratungen vermittelt. Bei Honoraren zwischen 90 € und 250 € pro Stunde!
Und dann haben Sie meist nicht mal eine wirklich fundierte, umsetzbare Anleitung zur Hand, wie bei uns der Fall. Und keinerlei Garantie.
Wir wollten unser Wissen bewusst auf diese modernere, auch weitaus effektivere Art und Weise an Sie weitergeben. Denn nur so erreichen wir genau die richtigen Menschen und können diese einmalige Lösung für einen bezahlbaren Preis anbieten...
Investieren Sie also jetzt nur 27,00 €, bzw. 39,90 € einmalig jetzt in Ihre Gesundheit und profitieren Sie nicht nur kurzfristig, sondern ein Leben lang! Selbst ein Kinobesuch mit der Familie kostet heutzutage schon um einiges mehr. Schreiben Sie lieber das Drehbuch ihres Lebens neu, denn Sie können es nun verwirklichen, mit nur einer richtigen Entscheidung.

Sichern Sie sich jetzt Ihr Ratgeberpaket für aktuell noch 39,90 €, bzw. 27,00 €, damit Sie sofort starten können. Völlig natürlich, auf die einzige sinnvolle Art und Weise. Klicken Sie dazu einfach auf den entsprechenden Button Ihrer Wunsch-Variante...

Vielen dank für Ihre Aufmerksamkeit, von Herzen alles Gute,
Jacob Niebler & Raphael Niebler + Team
